- 信息來源:市醫保局
- 發布日期:2025-09-28 14:49
- 瀏覽次數:
全省醫療保障經辦政務服務事項辦事指南(2025版)
一、單位參保登記
◆事項名稱
主項名稱:基本醫療保險參保和變更登記
子項名稱:單位參保登記
◆服務對象
用人單位(企業、機關、事業單位、民辦非企業單位、個體經濟組織以及其他社會組織)
◆辦理層級
設區市、縣(市、區)、鄉鎮(街道)
◆設定依據
(一)《中華人民共和國社會保險法》?(中華人民共和國主席令第35號)第五十七條
(二)《社會保險費征繳暫行條例》(國務院令第259號)第七條、第八條
(三)《社會保險經辦條例》(國務院令第765號)第六條、第十條
(四)《國務院關于修改部分行政法規的決定》(國務院令第710號)第二項
(五)《國家醫保局辦公室?財政部辦公廳?國家稅務總局辦公廳關于印發<基本醫療保險參保管理經辦規程>的通知》(醫保辦函〔2021〕11號)
(六)《江蘇省醫療保障條例》第十條、第十四條
◆辦理方式
(一)窗口辦理:各市向社會公布經辦服務大廳辦理地址
(二)線上辦理或聯辦建立登記
◆申請材料明細
(一)窗口(線上)辦理
1. 《統一社會信用代碼證書》(實現政務數據共享的可不提供)或單位批準成立(注銷)的文件(實現聯辦建立登記的企業可不提供)
2. 《基本醫療保險單位參保信息登記表》(加蓋單位公章)
備注: 單位首次新參保需提供單位開戶銀行賬戶信息
(二)聯辦建立登記
法定代表人或負責人身份證
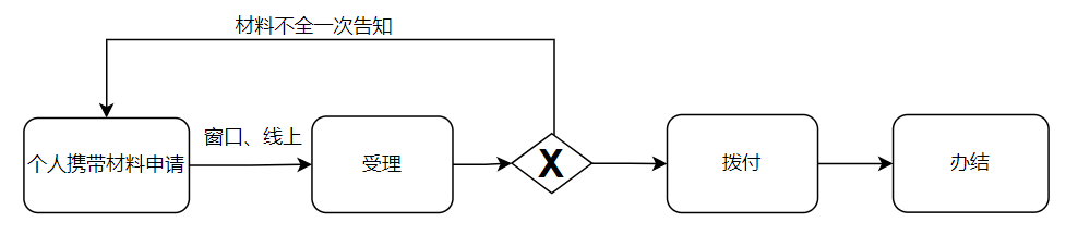
◆辦理流程
(一)窗口(線上)辦理流程
1. 申辦人攜帶申報材料至當地經辦機構窗口(或線上根據提示提交材料)辦理;
2. 工作人員對材料是否符合辦理條件進行審核,若材料符合辦理條件即時受理,若材料不符合的,一次性告知到位;
3. 審核通過的,即時辦理參保登記,并反饋辦理結果。
(二)聯辦建立登記流程
1. 企業在辦理注冊登記等時,同步完成社會保險登記;
2. 醫療保險經辦機構及時接收市場監管、稅務等部門交換的數據;
3. 根據數據直接辦理參保登記。
◆辦理時限
即時辦理
◆流程圖
◆是否收費
否
◆溫馨提示
參保登記含新參保、暫停參保、注銷登記、單位拆分、合并、分立等相關內容;
二、職工參保登記
◆事項名稱
主項名稱:基本醫療保險參保和變更登記
子項名稱:職工參保登記
◆服務對象
用人單位(企業、機關、事業單位、民辦非企業單位、個體經濟組織以及其他社會組織)或個人(靈活就業人員)
◆辦理層級
設區市、縣(市、區)、鄉鎮(街道)
◆設定依據
(一)《中華人民共和國社會保險法》(中華人民共和國主席令第35號)第二十三條、第五十七條、第五十八條
(二)《社會保險經辦條例》(國務院令第765號)第六條
(三)《香港澳門臺灣居民在內地(大陸)參加社會保險暫行辦法》(人力資源和社會保障部、國家醫保局令第41號)第二條、第三條、第四條、第十四條
(四)《在中國境內就業的外國人參加社會保險暫行辦法》(人力資源和社會保障部令第16號)第三條、第四條
(五)《國家醫保局辦公室?財政部辦公廳?國家稅務總局辦公廳關于印發<基本醫療保險參保管理經辦規程>的通知》(醫保辦函〔2021〕11號)
(六)《江蘇省醫療保障條例》第十條、第十一條、第十二條
(七)《江蘇省醫療保障局江蘇省財政廳江蘇省人力資源和社會保障廳國家稅務總局江蘇省稅務局關于推動靈活就業人員參加職工基本醫療保險的通知》(蘇醫保發〔2021〕61號)
◆辦理方式
(一)窗口辦理:各市向社會公布經辦服務大廳辦理地址
(二)線上辦理
◆辦理材料明細
(一)《城鎮職工基本醫療保險參保登記表》(含增加、中斷、終止、恢復、在職轉退休)(加蓋單位公章)
(二)靈活就業人員提供有效身份證件(有效身份證件包括身份證、居住證、戶口簿、護照、港澳臺居民來往內地通行證、港澳臺居民居住證、外國人永久居留證等,下同)
備注:1、特殊人群還需提供①港澳臺人員參加在職職工醫保的,需提供港澳居民來往內地通行證或港澳臺居民居住證、建立勞動關系的證明;②外國人參加在職職工醫保的,需提供外國人就業證件及居留證件,或外國人永久居留證;③在職轉退休的,需提供退休審批材料;2、參保人員死亡的,通過數據共享無法查詢死亡信息的應提供個人承諾書;3、個人出現國家規定的停止享受醫保待遇的情形后,用人單位、待遇享受人員或者其親屬應當自相關情形發生之日起20個工作日內告知醫保經辦機構。
◆辦理流程
(一)申辦人攜帶申報材料至當地經辦機構窗口(或在線上根據提示提交資料)辦理;
(二)工作人員對材料是否符合辦理條件進行審核,若材料符合辦理條件即時受理,若材料不符合的,一次性告知到位;
(三)審核通過的,即時辦理參保登記,并反饋辦理結果。
◆辦理時限
即時辦理
◆是否收費
否
◆流程圖
單位辦理:
個人辦理:
◆溫馨提示
職工參保登記包括職工因調動、工作變動、死亡、出國定居、參軍、退休等發生的參保狀態變更登記;
三、城鄉居民參保登記
◆事項名稱
主項名稱:基本醫療保險參保和變更登記
子項名稱:城鄉居民參保登記
◆服務對象
未參加職工基本醫療保險的城鄉居民
◆辦理層級
設區市、縣(市、區)、鄉鎮(街道)、村(社區)
◆設定依據
(一)《中華人民共和國社會保險法》(中華人民共和國主席令第35號)第二十四條、第二十五條
(二)《香港澳門臺灣居民在內地(大陸)參加社會保險暫行辦法》(人力資源和社會保障部、國家醫保局令第41號)第二條、第三條、第四條、第十四條
(三)《關于印發<外國人在中國永久居留享有相關待遇的辦法>的通知》(人社部發〔2012〕53號)
(四)《國家醫保局辦公室?財政部辦公廳?國家稅務總局辦公廳關于印發<基本醫療保險參保管理經辦規程>的通知》(醫保辦函〔2021〕11號)
(五)《江蘇省醫療保障條例》第十條、第十一條、第十二條
(六)《江蘇省醫療保障局江蘇省財政廳江蘇省人力資源和社會保障廳國家稅務總局江蘇省稅務局關于推動靈活就業人員參加職工基本醫療保險的通知》(蘇醫保發〔2021〕61號)
◆辦理方式
(一)窗口辦理:各市向社會公布經辦服務大廳辦理地址
(二)線上辦理
◆辦理材料明細
有效身份證件
備注:1、城鄉居民參保登記包含新增、暫停、終止、恢復;2、無法通過數據共享獲取戶籍、學籍、長期居住、資助參保、監護關系、軍人身份等信息的,需提供對應輔助材料;3、個人出現國家規定的停止享受醫保待遇的情形后,待遇享受人員或者其親屬應當自相關情形發生之日起20個工作日內告知醫保經辦機構。
◆辦理流程
(一)申辦人攜帶申報材料至居住地所在村(社區)、鄉鎮(街道)醫保或社保經辦服務窗口(或在網上根據提示提交資料)辦理;
(二)工作人員對材料是否符合辦理條件進行審核,若材料符合辦理條件即時受理,若材料不符合的,一次性告知到位;
(三)審核通過的,即時辦理參保登記,并反饋辦理結果。
◆辦理時限
即時辦理
◆是否收費
否? ??
◆流程圖
四、單位參保信息變更登記
◆事項名稱
主項名稱:基本醫療保險參保和變更登記
子項名稱:單位參保信息變更登記
◆服務對象
信息發生變更的職工基本醫療保險參保單位
◆辦理層級
設區市、縣(市、區)
◆設定依據
(一)《中華人民共和國社會保險法》(中華人民共和國主席令第35號)第八條、第五十七條
(二)《社會保險費征繳暫行條例》(國務院令第259號)第九條
(三)《社會保險經辦條例》(國務院令第765號)第八條、第九條、第十條
◆辦理方式
(一)窗口辦理:各市向社會公布經辦服務大廳辦理地址
(二)線上辦理
◆辦理材料明細
《基本醫療保險參保單位信息變更登記表》(加蓋單位公章)
備注:變更單位性質、法定代表人、銀行賬戶等關鍵信息的應提供必要的對應輔助材料。
◆辦理流程
(一)單位經辦人攜帶相關變更材料,至當地經辦機構(或在網上根據提示提交資料)辦理;
(二)工作人員對材料是否符合辦理條件進行審核,若材料符合辦理條件即時受理,若材料不符合的,一次性告知到位;?
(三)審核通過的,即時辦理參保信息變更登記,并反饋辦理結果。?
◆辦理時限
即時辦理
◆是否收費
否
◆流程圖
◆溫馨提示
參保單位應無欠費、斷繳等情況
五、職工參保信息變更登記
◆事項名稱
主項名稱:基本醫療保險參保和變更登記
子項名稱:職工參保信息變更登記
◆服務對象
基本信息發生變化的職工基本醫療保險參保人員
◆辦理層級
設區市、縣(市、區)、鄉鎮(街道)
◆設定依據
(一)《中華人民共和國社會保險法》(中華人民共和國主席令第35號)第八條、第五十七條
(二)《社會保險費征繳暫行條例》(國務院令第259號)第九條
(三)《社會保險經辦條例》(國務院令第765號)第八條、第九條、第十條
◆辦理方式
(一)窗口辦理:各市向社會公布經辦服務大廳辦理地址
(二)線上辦理
◆辦理材料明細
(一)單位申請:《基本醫療保險參保信息變更登記表》
(二)個人申請:醫保電子憑證或有效身份證件或社保卡
備注:變更姓名、性別、身份證號、出生日期等關鍵信息的應提供必要的對應輔助材料,由單位經辦人辦理的,無需提供變更人身份證。
◆辦理流程
(一)單位經辦人攜帶相關變更材料,至當地經辦機構(或在網上根據提示提交資料)申請辦理;
(二)工作人員對材料是否符合辦理條件進行審核,若材料符合辦理條件即時受理,若材料不符合的,一次性告知到位;
(三)審核通過的,即時辦理參保信息變更登記,并反饋辦理結果。?
◆辦理時限
即時辦理
◆是否收費
否
◆流程圖
六、城鄉居民參保信息變更登記
◆事項名稱
主項名稱:基本醫療保險參保和變更登記
子項名稱:城鄉居民參保信息變更登記
◆服務對象
參保狀態變更(暫停和終止)或信息變更的城鄉居民基本醫療保險參保人員
◆辦理層級
設區市、縣(市、區)、鄉鎮(街道)
◆設定依據
(一)《中華人民共和國社會保險法》(中華人民共和國主席令第35號)第八條、第五十七條;
(二)《社會保險費征繳暫行條例》(國務院令第259號)第九條
(三)《社會保險經辦條例》(國務院令第765號)第八條、第九條、第十條
◆辦理方式
(一)窗口辦理:各市向社會公布經辦服務大廳辦理地址
(二)線上辦理
◆辦理材料明細
醫保電子憑證或有效身份證件或社???/p>
備注:變更姓名、身份證號等關鍵信息的應提供必要的對應輔助材料。
◆辦理流程
(一)申辦人攜帶有效證件和相關材料,至當地經辦機構(或在網上根據提示提交資料)申請辦理,并填寫相關表格;
(二)工作人員對材料是否符合辦理條件進行審核,若材料符合辦理條件即時受理,若材料不符合的,一次性告知到位;?
(三)審核通過的,即時辦理參保信息變更登記,并反饋辦理結果。
◆辦理時限
即時辦理
◆是否收費
否
◆流程圖
七、參保單位參保信息查詢
◆事項名稱
主項名稱:基本醫療保險參保信息查詢和個人賬戶一次性支取
子項名稱:參保單位參保信息查詢
◆服務對象
城鎮職工基本醫療保險參保單位
◆辦理層級
設區市、縣(市、區)、鄉鎮(街道)
◆設定依據
(一)《中華人民共和國社會保險法》(中華人民共和國主席令第35號)第七十四條
(二)《社會保險費征繳暫行條例》(國務院令第259號)第十六條
(三)《社會保險經辦條例》(國務院令第765號)第三十二條
◆辦理方式
(一)窗口辦理:各市向社會公布經辦服務大廳辦理地址
(二)線上辦理
(三)自助辦理
◆辦理材料明細
單位有效證明文件(包括統一社會信用代碼證或單位介紹信或單位電子密鑰)
備注:可根據參保單位參保信息查詢情況提供參保單位參保記錄打印。
◆辦理流程
(一)窗口辦理
用人單位經辦人憑身份證或單位證明材料,在窗口查詢。
(二)線上辦理
用人單位經辦人在線上,通過手工錄入單位相關信息及密碼或電子密鑰登系統進行查詢。
(三)自助辦理
用人單位經辦人可憑身份證或單位電子密鑰,在自助查詢
機上查詢。
◆辦理時限
即時辦理
◆是否收費
否
◆流程圖
八、參保人員參保信息查詢
◆事項名稱
主項名稱:基本醫療保險參保信息查詢和個人賬戶一次性支取
子項名稱:參保人員參保信息查詢
◆服務對象
城鎮職工基本醫療保險及城鄉居民基本醫療保險參保人員
◆辦理層級
設區市、縣(市、區)、鄉鎮(街道)、村(社區)
◆設定依據
(一)《中華人民共和國社會保險法》(中華人民共和國主席令第35號)第七十四條
(二)《社會保險費征繳暫行條例》(國務院令第259號)第十六條
(三)《社會保險經辦條例》(國務院令第765號)第三十二條
◆辦理方式
(一)窗口辦理:各市向社會公布經辦服務大廳辦理地址
(二)線上辦理
(三)自助辦理
◆辦理材料明細
醫保電子憑證或有效身份證件或社???/p>
備注:可根據參保單位參保信息查詢情況提供參保單位參保記錄打印。
◆辦理流程
(一)窗口辦理
參保人員憑醫保電子憑證或有效身份證件或社??ㄔ诖翱诓樵?。
(二)線上辦理
參保人員憑社保卡號或身份證號在線上查詢。
(三)自助辦理
參保人員憑社??ɑ蛏矸葑C件在自助查詢機上查詢。
◆辦理時限
即時辦理
◆是否收費
否
◆流程圖
九、參保人員一次性支取個人賬戶余額
◆事項名稱
主項名稱:基本醫療保險參保信息查詢和個人賬戶一次性支取
子項名稱:參保人員一次性支取個人賬戶余額
◆服務對象
職工基本醫療保險參保人員中,符合下列情形之一的,可以申請辦理一次性支取個人賬戶余額。
(一)參保人員死亡;
(二)主動放棄基本醫療保險關系。
◆辦理層級
設區市、縣(市、區)
◆設定依據
(一)《中華人民共和國社會保險法》(中華人民共和國主席令第35號)第十四條
(二)《香港澳門臺灣居民在內地(大陸)參加社會保險暫行辦法》(人力資源和社會保障部、國家醫保局令第41號)第七條
(三)《在中國境內就業的外國人參加社會保險暫行辦法》(人力資源和社會保障部令第16號)第五條、第六條
(四)《江蘇省醫療保障條例》第十九條
◆辦理方式
(一)窗口辦理:各市向社會公布經辦服務大廳辦理地址
(二)線上辦理?
◆辦理材料明細
醫保電子憑證或有效身份證件或社保卡
備注:因死亡支取的,須提供參保人銀行賬戶信息,確因參保人銀行卡全部注銷的,應提供繼承人身份證、銀行卡賬戶信息,通過數據共享無法查詢死亡信息的,應提供繼承人承諾書;主動放棄參加基本醫療保險的,需提供主動放棄基本醫保關系的情況說明。
◆辦理流程
(一)申辦人攜帶相關申報材料至當地經辦機構窗口(或在網上根據提示提交資料)辦理;
(二)工作人員對材料是否符合辦理條件進行審核,若材料符合辦理條件即時受理,若材料不符合的,一次性告知到位;
(三)審核通過的,辦理個人賬戶資金支付手續,并反饋辦理結果。
◆辦理時限
10個工作日
◆是否收費
否
◆流程圖
十、家庭共濟賬戶綁定
◆事項名稱
主項名稱:職工基本醫療保險個人賬戶家庭共濟
子項名稱:家庭共濟賬戶綁定
◆服務對象
本省職工醫保參保人員(以下簡稱主賬戶人)的配偶、父母、子女、兄弟姐妹、祖父母、外祖父母、孫子女、外孫子女(以下簡稱家庭成員),家庭成員應為本省基本醫療保險(包括職工醫保和城鄉居民醫保)的參保人員。
◆辦理層級
設區市、縣(市、區)、鄉鎮(街道)
◆設定依據
(一)《省政府辦公廳關于建立健全職工基本醫療保險門診共濟保障機制的實施意見》(蘇政辦發〔2021〕108號)
(二)《江蘇省醫療保障局 江蘇省財政廳關于職工基本醫療保險個人賬戶使用及家庭共濟有關事項的通知》(蘇醫保發〔2022〕80號)
(三)《江蘇省醫療保障局 江蘇省財政廳 國家稅務總局江蘇省稅務局關于規范做好職工基本醫療保險個人賬戶家庭共濟經辦管理服務工作的通知》(蘇醫保發〔2023〕48號)
(四)《江蘇省醫療保障局 江蘇省財政廳 國家稅務總局江蘇省稅務局關于做好2024年城鄉居民基本醫療保障有關工作的通知》(蘇醫保發〔2024〕45號)
◆辦理方式
(一)窗口辦理:各市向社會公布經辦服務大廳辦理地址
(二)線上辦理:江蘇醫保云APP
◆辦理材料明細
醫保電子憑證、有效身份證件或社保卡及家庭成員有效身份證件
◆辦理流程
(一)窗口辦理
1. 參保人攜帶醫保電子憑證、本人有效身份證件或社??凹彝コ蓡T有效身份證件至當地經辦機構窗口申請辦理;
2. 工作人員對材料是否符合辦理條件進行審核,若材料符合辦理條件即時受理,若材料不符合的,一次性告知到位;
3. 參保人核對信息簽字確認并簽訂個人承諾書后,由經辦人員完成家庭成員綁定,并反饋辦理結果。
(二)線上辦理
參保人在江蘇醫保云APP中點擊“我要辦”界面,在“家庭共濟”功能模塊選擇“共濟賬戶綁定功能”,根據要求依次填寫家庭成員相關信息,按照提示仔細閱讀個人承諾書并提交電子簽名后,完成家庭成員綁定工作。
◆辦理時限
即時辦結
◆是否收費
否
◆流程圖
◆?溫馨提示
1. 主賬戶人和家庭成員只能加入一個家庭共濟關系,并提供家庭共濟承諾書。如需變更家庭共濟關系,可以在退出后再加入或組建新的家庭共濟關系。
2. 主賬戶人設立共濟家庭關系時,若綁定對象為配偶,線上辦理需根據操作提示,由對方確認夫妻關系;如需變更父母身份信息,需至經辦窗口提交相關變更說明和身份證件信息,方可解綁后重新綁定。
3. 主賬戶人因跨統籌地區流動就業等原因轉移職工醫保關系或其他終止職工醫保關系情形的,家庭共濟關系相應終止。
十一、家庭共濟賬戶解綁
◆事項名稱
主項名稱:職工基本醫療保險個人賬戶家庭共濟
子項名稱:家庭共濟賬戶解綁
◆服務對象
本省職工醫保參保人員(以下簡稱主賬戶人)的配偶、父母、子女、兄弟姐妹、祖父母、外祖父母、孫子女、外孫子女(以下簡稱家庭成員),家庭成員應為本省基本醫療保險(包括職工醫保和城鄉居民醫保)的參保人員。
◆辦理層級
設區市、縣(市、區)、鄉鎮(街道)
◆設定依據
(一)《省政府辦公廳關于建立健全職工基本醫療保險門診共濟保障機制的實施意見》(蘇政辦發〔2021〕108號)
(二)《江蘇省醫療保障局 江蘇省財政廳關于職工基本醫療保險個人賬戶使用及家庭共濟有關事項的通知》(蘇醫保發〔2022〕80號)
(三)《江蘇省醫療保障局 江蘇省財政廳 國家稅務總局江蘇省稅務局關于規范做好職工基本醫療保險個人賬戶家庭共濟經辦管理服務工作的通知》(蘇醫保發〔2023〕48號)
(四)《江蘇省醫療保障局 江蘇省財政廳 國家稅務總局江蘇省稅務局關于做好2024年城鄉居民基本醫療保障有關工作的通知》(蘇醫保發〔2024〕45號)
◆辦理方式
(一)窗口辦理:各市向社會公布經辦服務大廳辦理地址
(二)線上辦理:江蘇醫保云APP
◆辦理材料明細
本人醫保電子憑證、有效身份證件或社??凹彝コ蓡T有效身份證件
◆辦理流程
(一)窗口辦理
1. 參保人攜帶醫保電子憑證、本人有效身份證件或社保卡及家庭成員有效身份證件至當地經辦機構窗口申請辦理;
2. 工作人員對材料是否符合辦理條件進行審核,若材料符合辦理條件即時受理,若材料不符合的,一次性告知到位;
3. 參保人確認解綁對象,核對信息簽字確認后,由經辦人員完成家庭成員解綁,并反饋辦理結果。
(二)線上辦理
參保人在江蘇醫保云APP中點擊“我要辦”界面,在“家庭共濟”功能模塊選擇“共濟賬戶授權記錄查詢”,確認解綁對象后,點擊“解除綁定”,即可解除綁定關系。
◆辦理時限
即時辦結
◆是否收費
否
◆流程圖
十二、轉移接續手續辦理
◆事項名稱
主項名稱:基本醫療保險關系轉移接續
子項名稱:轉移接續手續辦理
◆服務對象
職工基本醫療保險(不含退休、退職人員)和城鄉居民基本醫療保險參保人員
◆辦理層級
設區市、縣(市、區)
◆設定依據
(一)《中華人民共和國社會保險法》(中華人民共和國主席第35號令)第三十二條
(二)《國家醫保局辦公室?財政部辦公廳關于印發<基本醫療保險關系轉移接續暫行辦法>的通知》(醫保辦發〔2021〕43號)第二條、第八條、第九條
(三)《江蘇省醫療保障條例》第十八條
(四)《關于規范優化醫保關系轉移接續經辦管理服務工作的通知》(蘇醫保辦發〔2024〕1號)
(五)《江蘇省醫療保障局關于印發2025年度醫保民生實事項目的通知》(蘇醫保發〔2025〕19號)
◆辦理方式
(一)窗口辦理:各市向社會公布經辦服務大廳辦理地址
(二)線上辦理
◆辦理材料明細
醫保電子憑證或有效身份證件或社???/p>
◆辦理流程
(一)申辦人攜帶醫保電子憑證或有效身份證件或社??ㄖ赁D入地或轉出地經辦機構窗口(或線上)申請辦理;
(二)轉入地和轉出地經辦機構核實身份信息,符合辦理條件予以受理,不符合辦理條件的一次性告知到位;
(三)基本醫療保險關系跨省轉移接續手續辦理,參保人員轉移接續申請成功受理后,轉出地經辦機構10個工作日內完成基本醫療保險關系轉出,生成《參保人員基本醫療保險信息表》簽章后上傳,若個人賬戶有余額的,辦理個人賬戶余額劃轉手續。轉入地經辦機構收到《參保人員基本醫療保險信息表》后,在5個工作日內完成基本醫療保險關系轉入。暫不能通過信息平臺傳輸的,采取線下方式發送《信息表》。
◆辦理時限
省內即時辦結,特殊情況不超過7個工作日;跨省不超過15個工作日
◆是否收費
否
◆流程圖
十三、異地安置退休人員備案
◆事項名稱
主項名稱:基本醫療保險參保人員異地就醫備案
子項名稱:異地安置退休人員備案
◆服務對象
異地安置退休人員,即職工基本醫療保險參保人員退休后在參保地設區市外定居并且戶籍遷入定居地的參保人員
◆辦理層級
設區市、縣(市、區)、鄉鎮(街道)
◆設定依據
(一)《國家醫保局 財政部關于進一步做好基本醫療保險跨省異地就醫直接結算工作的通知》(醫保發〔2022〕22號)
(二)《國家醫保局 財政部關于進一步加強異地就醫直接結算管理服務的通知》(醫保發〔2024〕21號)
(三)《江蘇省醫療保障局 江蘇省財政廳關于加強和改進全省基本醫療保險異地就醫經辦服務工作的通知》(蘇醫保發〔2022〕75號)
(四)《江蘇省醫療保障局 江蘇省財政廳關于進一步做好異地就醫直接結算管理服務的通知》(蘇醫保發﹝2024﹞56號)
◆辦理方式
(一)窗口辦理:各市向社會公布經辦服務大廳辦理地址
(二)線上辦理
(三)自助辦理
◆辦理材料明細
(一)醫保電子憑證或有效身份證件或社保卡
(二) 異地安置認定材料:居民戶口簿(戶口簿首頁和本人常住人口登記卡)或個人承諾書
備注:1、辦理更改、暫停和終止的只需身份證或醫保電子憑證(不包括居住地發生變更);2、采用承諾制備案的,根據參保地要求在規定時間內補齊有效證明材料,未在參保地規定的時間內補齊材料的,醫保部門將撤銷備案,參保人不再享受承諾制備案服務。
◆辦理流程
(一)異地就醫人員攜帶相關材料至參保地醫保經辦機構窗口(或線上、自助)辦理;
(二)工作人員對材料是否符合辦理條件進行審核,若材料符合辦理條件即時受理,若材料不符合的,一次性告知到位;
(三)窗口辦理審核通過的,即時辦結,并反饋辦理結果;線上或自助辦理的原則上參保地經辦機構應在2個工作日內辦結。
◆辦理時限
即時辦理
◆是否收費
否
◆流程圖
◆溫馨提示
(一)參保人員在省內異地就醫時,醫療保險待遇執行參保地的政策;
(二)參保人員跨省異地就醫直接結算時,執行就醫地規定的醫保目錄范圍及有關規定(包括藥品目錄、診療項目及耗材和醫療服務設施標準),基本醫療保險的起付線、報銷比例和最高支付限額執行參保地政策。因各省目錄差異,跨省異地就醫直接結算與回參保地報銷可能存在待遇差,屬于正?,F象。
十四、異地長期居住人員備案
◆事項名稱
主項名稱:基本醫療保險參保人員異地就醫備案
子項名稱:異地長期居住人員備案
◆服務對象
異地長期居住人員,即職工基本醫療保險、城鄉居民基本醫療保險參保人員中,在參保地設區市外長期居住且未遷戶籍的參保人員
◆辦理層級
設區市、縣(市、區)、鄉鎮(街道)
◆設定依據
(一)《國家醫保局 財政部關于進一步做好基本醫療保險跨省異地就醫直接結算工作的通知》(醫保發〔2022〕22號)
(二)《國家醫保局 財政部關于進一步加強異地就醫直接結算管理服務的通知》(醫保發〔2024〕21號)
(三)《江蘇省醫療保障局 江蘇省財政廳關于加強和改進全省基本醫療保險異地就醫經辦服務工作的通知》(蘇醫保發〔2022〕75號)
(四)《江蘇省醫療保障局 江蘇省財政廳關于進一步做好異地就醫直接結算管理服務的通知》(蘇醫保發﹝2024﹞56號)
◆辦理方式
(一)窗口辦理:各市向社會公布經辦服務大廳辦理地址
(二)線上辦理
(三)自助辦理
◆辦理材料明細
(一)醫保電子憑證或有效身份證件或社保卡
(二)長期居住認定材料:居住證、居民戶口簿(戶口簿首頁和本人常住人口登記卡)任選其一,或個人承諾書
備注:1、辦理更改、暫停和終止的只需身份證或醫保電子憑證(不包括居住地發生變更);2、采用承諾制備案的,根據參保地要求在規定時間內補齊有效證明材料,未在參保地規定的時間內補齊材料的,醫保部門將撤銷備案,參保人不再享受承諾制備案服務;3、參保人在居住地公安派出所或者受公安機關委托的社區服務機構辦理申領居住證手續且尚未領取的,可提交有關部門出具的受理憑證;4、參保人在申請辦理居住證時,如居住地公安派出所或者受公安機關委托的社區服務機構要求先辦理居住登記、暫住證等手續的,辦理備案時可提交相應憑證,材料上無明確截止日期的,備案截止時間按照參保地規定確定,原則上不超過6個月。其他特殊情況的,按照參保地規定執行。
◆辦理流程
(一)異地就醫人員攜帶相關材料至參保地醫保經辦機構窗口(或線上、自助)辦理;
(二)工作人員對材料是否符合辦理條件進行審核,若材料符合辦理條件即時受理,若材料不符合的,一次性告知到位;
(三)窗口辦理審核通過的,即時辦結,并反饋辦理結果;線上或自助辦理的原則上參保地經辦機構應在2個工作日內辦結。
◆辦理時限
即時辦理
◆是否收費
否
◆流程圖
◆溫馨提示
(一)參保人員在省內異地就醫時,醫療保險待遇執行參保地的政策;
(二)參保人員跨省異地就醫直接結算時,執行就醫地規定的醫保目錄范圍及有關規定(包括藥品目錄、診療項目及耗材和醫療服務設施標準),基本醫療保險的起付線、報銷比例和最高支付限額執行參保地政策。因各省目錄差異,跨省異地就醫直接結算與回參保地報銷可能存在待遇差,屬于正?,F象。
十五、常駐異地工作人員備案
◆事項名稱
主項名稱:基本醫療保險參保人員異地就醫備案
子項名稱:常駐異地工作人員備案
◆服務對象
常駐異地工作人員,即城鎮職工基本醫療保險參保人員中,用人單位派駐參保地設區市外長期工作的參保人員
◆辦理層級
設區市、縣(市、區)、鄉鎮(街道)
◆設定依據
(一)《國家醫保局 財政部關于進一步做好基本醫療保險跨省異地就醫直接結算工作的通知》(醫保發〔2022〕22號)
(二)《國家醫保局 財政部關于進一步加強異地就醫直接結算管理服務的通知》(醫保發〔2024〕21號)
(三)《江蘇省醫療保障局 江蘇省財政廳關于加強和改進全省基本醫療保險異地就醫經辦服務工作的通知》(蘇醫保發〔2022〕75號)
(四)《江蘇省醫療保障局 江蘇省財政廳關于進一步做好異地就醫直接結算管理服務的通知》(蘇醫保發﹝2024﹞56號)
◆辦理方式
(一)窗口辦理:各市向社會公布經辦服務大廳辦理地址
(二)線上辦理
(三)自助辦理
◆辦理材料明細
(一)醫保電子憑證或有效身份證件或社???/p>
(二)常駐異地工作認定材料:參保地工作單位派出憑證、異地工作勞動合同任選其一,或個人承諾書
備注:辦理更改、暫停、恢復和終止的只需身份證或醫保電子憑證(不包括居住地發生變更)。
◆辦理流程
(一)異地就醫人員攜帶相關材料至參保地醫保經辦機構窗口(或線上、自助)辦理;
(二)工作人員對材料是否符合辦理條件進行審核,若材料符合辦理條件即時受理,若材料不符合的,一次性告知到位;
(三)窗口辦理審核通過的,即時辦結,并反饋辦理結果;線上或自助辦理的原則上參保地經辦機構應在2個工作日內辦結。
備注:采用承諾制備案的,根據參保地要求在規定時間內補齊有效證明材料,未在參保地規定的時間內補齊材料的,醫保部門將撤銷備案,參保人不再享受承諾制備案服務。
◆辦理時限
即時辦理
◆是否收費
否
◆流程圖
◆溫馨提示
(一)參保人員在省內異地就醫時,醫療保險待遇執行參保地的政策;
(二)參保人員跨省異地就醫直接結算時,執行就醫地規定的醫保目錄范圍及有關規定(包括藥品目錄、診療項目及耗材和醫療服務設施標準),基本醫療保險的起付線、報銷比例和最高支付限額執行參保地政策。因各省目錄差異,跨省異地就醫直接結算與回參保地報銷可能存在待遇差,屬于正常現象。
十六、異地轉診人員備案
◆事項名稱
主項名稱:基本醫療保險參保人員異地就醫備案
子項名稱:異地轉診人員備案
◆服務對象
職工基本醫療保險、城鄉居民基本醫療保險參保人員中,經參保地規定的定點醫療機構批準,需要到設區市外醫療機構繼續就醫的參保人員
◆辦理層級
設區市、縣(市、區)、鄉鎮(街道)
◆設定依據
(一)《國家醫保局 財政部關于進一步做好基本醫療保險跨省異地就醫直接結算工作的通知》(醫保發〔2022〕22號)
(二)《國家醫保局 財政部關于進一步加強異地就醫直接結算管理服務的通知》(醫保發〔2024〕21號)
(三)《江蘇省醫療保障局 江蘇省財政廳關于加強和改進全省基本醫療保險異地就醫經辦服務工作的通知》(蘇醫保發〔2022〕75號)
(四)《江蘇省醫療保障局 江蘇省財政廳關于進一步做好異地就醫直接結算管理服務的通知》(蘇醫保發﹝2024﹞56號)
◆辦理方式
(一)窗口辦理:各市向社會公布經辦服務大廳辦理地址
(二)線上辦理或醫院端辦理
(三)自助辦理
◆辦理材料明細
(一)醫保電子憑證或有效身份證件或社???/p>
(二)異地轉診人員備案需提供參保地規定的定點醫療機構開具的轉診轉院證明材料
◆辦理流程
(一)窗口(線上、自助)辦理
1. 異地就醫人員攜帶相關材料至參保地醫保經辦機構窗口(或線上、自助)辦理;
2. 工作人員對材料是否符合辦理條件進行審核,若材料符合辦理條件即時受理,若材料不符合的,一次性告知到位;
3. 窗口辦理審核通過的,即時辦結,并反饋辦理結果;線上或自助辦理的原則上參保地經辦機構應在2個工作日內辦結。
(二)醫院端辦理
異地轉診人員在參保地規定的定點醫療機構,通過醫療機構信息系統直接辦理異地轉診備案手續。
◆辦理時限
即時辦理
◆是否收費
否
◆流程圖
◆溫馨提示
(一)參保人員在省內異地就醫時,醫療保險待遇執行參保地的政策;
(二)參保人員跨省異地就醫直接結算時,執行就醫地規定的醫保目錄范圍及有關規定(包括藥品目錄、診療項目及耗材和醫療服務設施標準),基本醫療保險的起付線、報銷比例和最高支付限額執行參保地政策。因各省目錄差異,跨省異地就醫直接結算與回參保地報銷可能存在待遇差,屬于正?,F象。
十七、其他臨時外出就醫人員備案
◆事項名稱
主項名稱:基本醫療保險參保人員異地就醫備案
子項名稱:其他臨時外出就醫人員備案
◆服務對象
職工基本醫療保險、城鄉居民基本醫療保險參保人員,因工作、旅游等原因異地急診搶救人員以及其他臨時外出就醫人員
◆辦理層級
設區市、縣(市、區)、鄉鎮(街道)
◆設定依據
(一)《國家醫保局 財政部關于進一步做好基本醫療保險跨省異地就醫直接結算工作的通知》(醫保發〔2022〕22號)
(二)《國家醫保局 財政部關于進一步加強異地就醫直接結算管理服務的通知》(醫保發〔2024〕21號)
(三)《江蘇省醫療保障局 江蘇省財政廳關于加強和改進全省基本醫療保險異地就醫經辦服務工作的通知》(蘇醫保發〔2022〕75號)
(四)《江蘇省醫療保障局 江蘇省財政廳關于進一步做好異地就醫直接結算管理服務的通知》(蘇醫保發﹝2024﹞56號)
◆辦理方式
(一)窗口辦理:各市向社會公布經辦服務大廳辦理地址
(二)線上辦理或自助辦理
◆辦理材料明細
其他臨時外出就醫人員備案僅需提供本人有效身份證明材料(醫保電子憑證或有效身份證件或社保卡)
◆辦理流程
(一)異地就醫人員攜帶相關材料至參保地醫保經辦機構窗口(或線上、自助)辦理;
(二)工作人員對材料是否符合辦理條件進行審核,若材料符合辦理條件即時受理,若材料不符合的,一次性告知到位;
(三)窗口辦理審核通過的,即時辦結,并反饋辦理結果;線上或自助辦理的原則上參保地經辦機構應在2個工作日內辦結。
◆辦理時限
即時辦理
◆是否收費
否
◆流程圖
◆溫馨提示
(一)參保人員在省內異地就醫時,醫療保險待遇執行參保地的政策;
(二)參保人員跨省異地就醫直接結算時,執行就醫地規定的醫保目錄范圍及有關規定(包括藥品目錄、診療項目及耗材和醫療服務設施標準),基本醫療保險的起付線、報銷比例和最高支付限額執行參保地政策。因各省目錄差異,跨省異地就醫直接結算與回參保地報銷可能存在待遇差,屬于正常現象。
十八、基本醫療保險參保人員享受門診慢特病病種待遇認定
◆事項名稱
主項名稱:基本醫療保險參保人員享受門診慢特病病種待遇認定
子項名稱:基本醫療保險參保人員享受門診慢特病病種待遇認定
◆服務對象
城鎮職工基本醫療保險、城鄉居民基本醫療保險參保人員
◆辦理層級
設區市、縣(市、區)
◆設定依據
(一)《省政府辦公廳關于建立健全職工基本醫療保險門診共濟保障機制的實施意見》(蘇政辦發〔2021〕108號)
(二)《江蘇省醫療保障局關于統一基本醫療保險門診特殊病保障政策的通知》(蘇醫保發〔2022〕46號)
◆辦理方式
(一)窗口辦理:各市向社會公布經辦服務大廳辦理地址
(二)定點醫療機構辦理:各市向社會公布可辦理門診慢特病病種待遇核定的定點醫療機構及地址
(三)線上辦理
◆辦理材料明細
(一)醫保電子憑證或有效身份證件或社???/p>
(二)病歷資料或檢查資料(包括檢查報告、出院小結、門診病歷等)
◆辦理流程
(一)委托醫院鑒定辦理流程(一般情況)
1. 申辦人攜帶相關資料前往參保地委托定點醫院窗口申請;
2. 工作人員對材料是否符合辦理條件進行審核,若材料符合辦理條件即時受理,若材料不符合的,一次性告知到位;
3. 被委托醫院完成院內鑒定并將結果上傳至經辦機構;
4. 審核通過的,予以備案,不符合條件的予以反饋。
(二)窗口(或線上)辦理流程(特殊情況)
1. 申辦人攜帶相關材料前往參保地經辦機構窗口(或線上根據提示提交材料)辦理;
2. 工作人員對材料是否符合辦理條件進行審核,若材料符合辦理條件即時受理,若材料不符合的,一次性告知到位;
3. 經辦機構委托定點醫療機構進行鑒定,對鑒定通過的予以公示和備案,不符合條件的予以反饋。
◆辦理時限
即時辦理
◆是否收費
否
◆流程圖
◆溫馨提示
(一)參保人員通過線上申請的,原則上參保地經辦機構應在1個工作日內辦結。
(二)醫保經辦機構將定期組織專家對醫院鑒定情況進行復核,對不符合門慢或門特鑒定條件的,取消參保人員門慢或門特待遇認定,并將結果反饋參保人員。
十九、國談藥“雙通道”管理及單獨支付藥品待遇認定
◆事項名稱
主項名稱:基本醫療保險參保人員享受門診慢特病病種待遇認定
子項名稱:國談藥“雙通道”管理及單獨支付藥品待遇認定
◆服務對象
職工基本醫療保險、城鄉居民基本醫療保險參保人員
◆辦理層級
設區市、縣(市、區)
◆設定依據
(一)《國家醫保局?國家衛生健康委關于建立完善國家醫保談判藥品“雙通道”管理機制的指導意見》(醫保發〔2021〕28號);
(二)《江蘇省醫療保障局?江蘇省衛生健康委員會關于建立完善國家醫保談判藥品“雙通道”管理機制的實施意見》(蘇醫保發〔2021〕40號);
(三)《江蘇省醫療保障局關于印發<國家醫保談判藥品“雙通道”管理及單獨支付藥品經辦規程(試行)>的通知》(蘇醫保發〔2021〕48號)
◆辦理方式
(一)?窗口辦理:各市向社會公布經辦服務大廳辦理
(二)定點醫療機構辦理:各市向社會公布可辦理門診慢特病病種待遇核定的定點醫療機構及地址
(三)線上辦理
◆辦理材料明細
1. 醫保電子憑證或有效身份證件或社??ǎ?/p>
2. 《參?;颊摺半p通道”管理及單獨支付藥品用藥申請表》;
3. 疾病診斷材料(包括檢驗報告、出院小結、門診病歷等)
◆辦理流程
(一)窗口(或線上)辦理
1. 申辦人攜帶相關材料前往參保地經辦機構窗口(或網上根據提示提交材料)辦理;
2. 工作人員對材料是否符合辦理條件進行審核,若材料符合辦理條件即時受理,若材料不符合的,一次性告知到位;
3. 審核通過的,即時享受待遇。
(二)醫院端辦理
1. 申辦人經國談藥醫保責任醫師診斷后,填寫《參?;颊摺半p通道”管理及單獨支付藥品用藥申請表》;
2. 責任醫生審核后將相關信息上傳或經醫院醫保辦審核后上傳至醫保經辦機構;
3. 審核通過的,即可享受待遇,審核不通過則予退回。
◆辦理時限
1個工作日
◆是否收費
否
◆流程圖
◆溫馨提示
(一)參?;颊呦硎茚t保待遇期間,須定期到國談藥醫保責任醫師處復查評估,復查結果以《參?;颊摺半p通道”管理及單獨支付藥品使用評估表》形式記錄,由責任醫師簽字確認,并根據評估結果及時調整用藥方案。對經復查評估,不符合臨床醫學診斷使用國談藥標準的參?;颊?,不再享受醫保報銷待遇;對未按照規定時限進行復查的,暫?;蛉∠湎嚓P醫保待遇;復查評估時間最長不超過一年,具體間隔時間由責任醫師確定。
(二)參?;颊咴瓌t上選擇1家國談藥定點醫療機構作為本人診治的定點醫療機構,也可以選擇1家國談藥定點零售藥店作為本人購取藥的定點零售藥店。
(三)參?;颊呤犬惖鼐歪t使用“雙通道”管理及單獨支付藥品發生的符合規定的費用,納入異地就醫直接結算;非直接結算的,由個人現金墊付后,回參保地零星報銷。實行跨省異地就醫備案參?;颊?,使用“雙通道”管理及單獨支付藥品的,根據國家跨省異地就醫相關規定結算,也可以由參保地醫保經辦機構根據規定進行報銷。
(四)醫保經辦機構將定期組織專家對責任醫師或經醫保辦的審核結果進行復核,對復核發現不符合“雙通道”管理及單獨支付條件的,取消參保人員“雙通道”管理及單獨支付待遇認定,并將結果反饋參保人員。
二十、門診費用報銷
◆事項名稱
主項名稱:基本醫療保險參保人員醫療費用手工(零星)報銷
子項名稱:門診費用報銷
◆服務對象
職工基本醫療保險、城鄉居民基本醫療保險異地就醫未聯網刷卡結算、門(急)診搶救或因其他特殊情形發生醫療費用且符合待遇享受條件的參保人員
◆辦理層級
設區市、縣(市、區)
◆設定依據
(一)《中華人民共和國社會保險法》(中華人民共和國主席第35號令)第二十八條、第三十條
(二)《社會保險經辦條例》(國務院令第765號)第二十條
(三)《國家醫療保障局關于加快解決群眾辦事堵點問題的通知》(國醫保電〔2018〕14號)
(四)《國家醫保局 財政部關于進一步做好基本醫療保險跨省異地就醫直接結算工作的通知》(國醫保發〔2022〕22號)
(五)《江蘇省醫療保障條例》第十六條
(六)《關于規范優化基本醫療保險參保人員醫療費用手工(零星)報銷服務工作的通知》(蘇醫保辦發〔2022〕35號)
(七)《江蘇省醫療保障局江蘇省衛生健康委員會關于做好急危重傷病參保人員門(急)診醫療費用保障工作的通知》(蘇醫保發〔2022〕42號)
◆辦理方式
(一)窗口辦理:各市向社會公布經辦服務大廳辦理地址
(二)線上辦理
◆辦理材料明細
(一)醫保電子憑證或有效身份證件或社保卡
(二)醫藥機構收費票據
(三)門急診費用清單
(四)處方底方或病歷資料
備注:1、急診需提供急診診斷證明或急診病歷;2、搶救需提供門診搶救病歷或急危重傷病分級診斷證明或死亡證明;3、意外傷害就醫的應提供交警事故認定書或法院判決書或調解協議書等公檢法部門出具的相關證明材料復印件一份,無法提供的應填寫個人承諾書;4、“雙通道”管理及單獨支付藥品還須提供《參保患者“雙通道”管理及單獨支付藥品用藥申請表》;5、特殊情況可要求提供病歷中對應的佐證資料。
◆辦理流程
(一)窗口辦理
1. 申辦人攜帶相關材料至參保地醫保經辦機構服務窗口辦理;
2. 工作人員對材料是否符合辦理條件進行審核,若材料符合辦理條件即時受理,若材料不符合的,一次性告知到位;
3. 經辦機構對相關費用進行審核和復核(對需要查證的醫療費用進行核查)后,完成支付,并反饋辦理結果。
(二)線上辦理
1. 申辦人可通過參保地門戶網站、政務網等或線上提交報銷所需材料;
2. 工作人員對材料是否符合辦理條件進行預審,預審通過的,通知參保人員郵寄材料,告知郵寄地址,若材料不符合要求,一次性告知到位;
3. 經辦機構對相關費用進行審核和復核(對需要查證的醫療費用進行核查)后,完成支付,并反饋辦理結果。
◆辦理時限
單次門診小額費用5個工作日;一般10個工作日,特殊情況不超過20個工作日
◆是否收費
否
◆流程圖
◆溫馨提示
對單次門診1000元以下小額費用手工報銷業務,辦理時限壓縮至5個工作日。
二十一、住院費用報銷
◆事項名稱
主項名稱:基本醫療保險參保人員醫療費用手工(零星)報銷
子項名稱:住院費用報銷
◆服務對象
職工基本醫療保險、城鄉居民基本醫療保險異地就醫未聯網刷卡結算、門(急)診住院或因其他特殊情形發生醫療費用且符合待遇享受條件的參保人員
◆辦理層級
設區市、縣(市、區)
◆設定依據
(一)《中華人民共和國社會保險法》(中華人民共和國主席第35號令)第二十八條、第三十條
(二)《社會保險經辦條例》(國務院令第765號)第二十條
(三)《國家醫療保障局關于加快解決群眾辦事堵點問題的通知》(國醫保電〔2018〕14號)
(四)《國家醫保局 財政部關于進一步做好基本醫療保險跨省異地就醫直接結算工作的通知》(國醫保發〔2022〕22號)
(五)《江蘇省醫療保障條例》第十六條
(六)《關于規范優化基本醫療保險參保人員醫療費用手工(零星)報銷服務工作的通知》(蘇醫保辦發〔2022〕35號)
(七)《江蘇省醫療保障局江蘇省衛生健康委員會關于做好急危重傷病參保人員門(急)診醫療費用保障工作的通知》(蘇醫保發〔2022〕42號)
◆辦理方式
(一)窗口辦理:各市向社會公布經辦服務大廳辦理地址
(二)線上辦理
◆辦理材料明細
(一)醫保電子憑證或有效身份證件或社???/p>
(二)醫院收費票據
(三)住院費用清單
(四)出院記錄
備注:1、意外傷害就醫的應提供交警事故認定書或法院判決書或調解協議書等公檢法部門出具的相關證明材料復印件一份,無法提供的應填寫個人承諾書;2、急診需提供急診診斷證明;3、外購藥品需提供外購發票、住院醫囑單或外購藥處方或《住院期間外院檢查治療或定點藥店購藥單》;4、特殊情況可要求提供病歷中對應的佐證資料。
◆辦理流程
(一)窗口辦理
1. 申辦人攜帶相關材料至參保地醫保經辦機構服務窗口辦理;
2. 工作人員對材料是否符合辦理條件進行審核,若材料符合辦理條件即時受理,若材料不符合的,一次性告知到位;
3. 經辦機構對相關費用進行審核和復核(對需要查證的醫療費用進行核查)后,完成支付,并反饋辦理結果。
(二)線上辦理
1. 申辦人可通過線上根據提示提交報銷所需材料;
2. 工作人員對材料是否符合辦理條件進行預審,預審通過的,通知參保人員郵寄材料,告知郵寄地址,若材料不符合要求,一次性告知到位;
3. 經辦機構對相關費用進行審核和復核(對需要查證的醫療費用進行核查)后,完成支付,并反饋辦理結果。
◆辦理時限
10個工作日,特殊情況不超過20個工作日
◆是否收費
否
◆流程圖
二十二、產前檢查費支付
◆事項名稱
主項名稱:生育保險待遇核準支付
子項名稱:產前檢查費支付
◆服務對象
在異地發生或因其他特殊情況未能劃卡結算產前檢查費用且符合享受生育保險相關待遇的參加生育保險女性參保人員、男職工未就業配偶
◆辦理層級
設區市、縣(市、區)
◆設定依據
(一)《中華人民共和國社會保險法》(中華人民共和國主席令第35號)第五十四條
(二)《江蘇省職工生育保險規定》(江蘇省人民政府令第94號)第十六條、第二十二條
(三)《江蘇省醫療保障局關于享受生育保險待遇有關問題的通知》(蘇醫保發〔2023〕2號)
◆辦理方式
(一)窗口辦理:各市向社會公布經辦服務大廳辦理地址
(二)線上辦理
◆辦理材料明細
(一)醫保電子憑證或有效身份證件或社保卡
(二)醫院收費票據
(三)費用清單
(四)病歷資料:包括門診病歷、診斷證明、住院記錄、出院小結等
備注:1、合并支付的,一次性提供材料;2、特殊情況可要求提供病歷中對應的佐證資料
◆辦理流程
(一)窗口辦理
1. 申辦人攜帶相關材料至參保地醫保經辦機構服務窗口辦理;
2. 工作人員對材料是否符合辦理條件進行審核,若材料符合辦理條件即時受理,若材料不符合的,一次性告知到位;
3. 經辦機構對相關費用進行審核和復核(對需要查證的醫療費用進行核查)后,完成支付,并反饋辦理結果。
(二)線上辦理
1. 申辦人可通過線上根據提示提交報銷所需材料;
2. 工作人員對材料是否符合辦理條件進行預審,預審通過的,通知參保人員郵寄材料,告知郵寄地址,若材料不符合要求,一次性告知到位;
3. 經辦機構對相關費用進行審核和復核(對需要查證的醫療費用進行核查)后,完成支付,并反饋辦理結果。
◆辦理時限
10個工作日,特殊情況不超過20個工作日
◆是否收費
否
◆流程圖
二十三、生育醫療費支付
◆事項名稱
主項名稱:生育保險待遇核準支付
子項名稱:生育醫療費支付
◆服務對象
在異地發生或因其他特殊情況未能劃卡結算生育醫療費用且符合享受生育保險相關待遇的參加生育保險女性參保人員、男職工未就業配偶
◆辦理層級
設區市、縣(市、區)
◆設定依據
(一)《中華人民共和國社會保險法》(中華人民共和國主席令第35號)第五十四條、五十五條
(二)《社會保險經辦條例》(國務院令第765號)第二十條
(三)《江蘇省職工生育保險規定》(江蘇省人民政府令第94號)第十六條、第十七條、第十八條、第二十二條
(四)《江蘇省醫療保障局關于享受生育保險待遇有關問題的通知》(蘇醫保發〔2023〕2號)
◆辦理方式
(一)窗口辦理:各市向社會公布經辦服務大廳辦理地址
(二)線上辦理
◆辦理材料明細
(一)醫保電子憑證或有效身份證件或社???/p>
(二)醫院收費票據?
(三)費用清單?
(四)病歷資料:包括門診病歷、診斷證明、住院記錄、出院小結等
備注:1、合并支付的,一次性提供材料;2、特殊情況可要求提供病歷中對應的佐證資料。
◆辦理流程
(一)窗口辦理
1. 申辦人攜帶相關材料至參保地醫保經辦機構服務窗口辦理;
2. 工作人員對材料是否符合辦理條件進行審核,若材料符合辦理條件即時受理,若材料不符合的,一次性告知到位;
3. 經辦機構對相關費用進行審核和復核(對需要查證的醫療費用進行核查)后,完成支付,并反饋辦理結果。
(二)線上辦理
1. 申辦人可通過線上根據提示提交報銷所需材料;
2. 工作人員對材料是否符合辦理條件進行預審,預審通過的,通知參保人員郵寄材料,告知郵寄地址,若材料不符合要求,一次性告知到位;
3. 經辦機構對相關費用進行審核和復核(對需要查證的醫療費用進行核查)后,完成支付,并反饋辦理結果。
◆辦理時限
10個工作日,特殊情況不超過20個工作日
◆是否收費
否
◆流程圖
二十四、計劃生育醫療費支付
◆事項名稱
主項名稱:生育保險待遇核準支付
子項名稱:計劃生育醫療費用支付
◆服務對象
在異地發生或因其他特殊情況未能劃卡結算計劃生育醫療費用且符合享受生育保險相關待遇的參加生育保險女職工、參加生育保險的男職工
◆辦理層級
設區市、縣(市、區)
◆設定依據
(一)《中華人民共和國社會保險法》(中華人民共和國主席令第35號)第五十四條、五十五條
(二)《社會保險經辦條例》(國務院令第765號)第二十條
(三)《江蘇省職工生育保險規定》(江蘇省人民政府令第94號)第十六條、第十七條、第十八條、第二十二條
(四)《江蘇省醫療保障局關于享受生育保險待遇有關問題的通知》(蘇醫保發〔2023〕2號)
◆辦理方式
(一)窗口辦理:各市向社會公布經辦服務大廳辦理地址
(二)線上辦理
◆辦理材料明細
(一)醫保電子憑證或有效身份證件或社???/p>
(二)醫院收費票據?
(三)費用清單?
(四)病歷資料:包括門診病歷、診斷證明、住院記錄、出院小結等
備注:1、合并支付的,一次性提供材料;2、特殊情況可要求提供病歷中對應的佐證資料。
◆辦理流程
(一)窗口辦理
1. 申辦人攜帶相關材料至參保地醫保經辦機構服務窗口辦理;
2. 工作人員對材料是否符合辦理條件進行審核,若材料符合辦理條件即時受理,若材料不符合的,一次性告知到位;
3. 經辦機構對相關費用進行審核和復核(對需要查證的醫療費用進行核查)后,完成支付,并反饋辦理結果。
(二)線上辦理
1. 申辦人可通過線上根據提示提交報銷所需材料;
2. 工作人員對材料是否符合辦理條件進行預審,預審通過的,通知參保人員郵寄材料,告知郵寄地址,若材料不符合要求,一次性告知到位;
3. 經辦機構對相關費用進行審核和復核(對需要查證的醫療費用進行核查)后,完成支付,并反饋辦理結果。
◆辦理時限
10個工作日
◆是否收費
否
◆流程圖
二十五、生育津貼支付
◆事項名稱
主項名稱:生育保險待遇核準支付
子項名稱:生育津貼支付
◆服務對象
符合享受生育保險相關待遇的參保女職工、參加生育保險且符合享受護理假生育津貼的男職工、參加生育保險的領取失業保險金人員
◆辦理層級
設區市、縣(市、區)
◆設定依據
(一)《中華人民共和國社會保險法》(中華人民共和國主席令第35號)第五十四條、五十五條
(二)《社會保險經辦條例》(國務院令第765號)第二十條
(三)《江蘇省職工生育保險規定》(江蘇省人民政府令第94號)第十六條、第十七條、第十八條、第二十二條
(四)《江蘇省醫療保障局關于享受生育保險待遇有關問題的通知》(蘇醫保發〔2023〕2號)
(五)《省人力資源社會保障廳 省財政廳 省醫療保障局 國家稅務總局江蘇省稅務局關于做好領取失業保險金人員職工基本醫療保險和生育保險有關工作的通知》(蘇人社函〔2024〕41號)
◆辦理方式
(一)窗口辦理:各市向社會公布經辦服務大廳辦理地址
(二)線上辦理
◆辦理材料明細
(一)醫保電子憑證或有效身份證件或社???/p>
(二)病歷資料:包括門診病歷、診斷證明、住院記錄、出院小結等
備注:1、合并支付的,一次性提供材料;2、醫療保障經辦業務平臺如無法通過其他部門獲得結婚證、就業失業登記證、生育服務證和出生醫學證明等,由辦理人提供,無法提供的,需提供個人承諾書按規定享受相應待遇;3、特殊情況可要求提供病歷中對應的佐證資料。
◆辦理流程
(一)參保單位經辦人攜帶申報材料至當地經辦機構(或網上根據提示提交材料)辦理;
(二)工作人員對材料是否符合辦理條件進行審核,若材料符合辦理條件即時受理,若材料不符合的,一次性告知到位;
(三)審核通過的,完成支付,并反饋辦理結果。
◆辦理時限
10個工作日
◆是否收費
否
◆流程圖
二十六、一次性營養補助支付
◆事項名稱
主項名稱:生育保險待遇核準支付
子項名稱:一次性營養補助支付
◆服務對象
參加生育保險的女職工、參加生育保險的女職工失業后在領取失業金期間生育的
◆辦理層級
設區市、縣(市、區)
◆設定依據
(一)《中華人民共和國社會保險法》(中華人民共和國主席令第35號)第五十四條、第五十五條
(二)《社會保險經辦條例》(國務院令第765號)第二十條
(三)《江蘇省職工生育保險規定》(江蘇省人民政府令第94號)第十九條
(四)《江蘇省醫療保障局關于享受生育保險待遇有關問題的通知》(蘇醫保發〔2023〕2號)
◆辦理方式
(一)窗口辦理:各市向社會公布經辦服務大廳辦理地址
(二)線上辦理
◆辦理材料明細
醫保電子憑證或有效身份證件或社???/p>
備注:1、合并支付的,一次性提供材料;2、醫療保障經辦業務平臺如無法通過其他部門獲得結婚證、就業失業登記證、生育服務證和出生醫學證明等,由辦理人提供,無法提供的,需提供個人承諾書按規定享受相應待遇;3、特殊情況可要求提供病歷中對應的佐證資料。
◆辦理流程
(一)申辦人攜帶申報材料至當地經辦機構(或網上根據提示提交材料)辦理;
(二)工作人員對材料是否符合辦理條件進行審核,若材料符合辦理條件即時受理,若材料不符合的,一次性告知到位;
(三)審核通過的,完成支付,并反饋辦理結果。
◆辦理時限
10個工作日
◆是否收費
否
◆流程圖
二十七、符合資助條件的救助對象參加城鄉居民基本醫療保險個人繳費補貼
◆事項名稱
主項名稱:醫療救助對象待遇核準支付
子項名稱:符合資助條件的救助對象參加城鄉居民基本醫療保險個人繳費補貼
◆服務對象
符合下列情況之一的,可以申請城鄉居民基本醫療保險個人繳費補貼:
(一)特困人員;
(二)最低生活保障對象;
(三)困境兒童;
(四)符合條件的享受國家撫恤補助的優撫對象;
(五)享受民政部門定期定量生活補助費的二十世紀六十年代精減退職職工;
(六)設區的市、縣(市、區)總工會核定的特困職工;
(七)低保邊緣家庭成員;
(八)支出型困難家庭中的大重病患者;
(九)具有當地戶籍的臨時救助對象中的大重病患者;
(十)省和設區的市人民政府規定的其他特殊困難人員。
◆辦理層級
設區市、縣(市、區)
◆設定依據
(一)《社會保險經辦條例》(國務院令第765號)第二十九條
(二)《城鄉醫療救助基金管理辦法》(財社〔2013〕217號)第八條
(三)《國務院辦公廳關于健全重特大疾病醫療保險和救助制度的意見》(國辦發〔2021〕42號)
(四)《關于進一步加強醫療救助與城鄉居民大病保險有效銜接的通知》(民發〔2017〕12號)
(五)《江蘇省醫療保障條例》第二十四條、第二十五條
(六)《江蘇省社會救助辦法》(省政府令第99號)
(七)《省政府辦公廳關于健全重特大疾病醫療保險和救助制度的實施意見》(蘇政辦發〔2022〕54號)
(八)《關于進一步做好醫療救助工作的通知》(蘇醫保發〔2019〕120號)
(九)《關于印發<江蘇省醫療救助業務經辦管理規程(試行)的通知>》(蘇醫保辦發〔2023〕27號)
◆辦理方式
(一)窗口辦理:各市向社會公布經辦服務大廳辦理地址
(二)線上辦理
◆辦理材料明細
(一)救助對象身份證明(系統已標識的,無需證明)
(二)個人繳納基本醫保參保費用有效憑證
◆辦理流程
(一)申辦人攜帶申報材料至當地經辦機構(或網上根據提示提交材料)辦理;
(二)工作人員對材料是否符合辦理條件進行審核,若材料符合辦理條件即時受理,若材料不符合的,一次性告知到位;
(三)審核通過的,完成支付,并反饋辦理結果。
◆辦理時限
5個工作日
◆是否收費
否
◆流程圖
◆溫馨提示
一般情況為符合資助條件人員參加居民醫保時直接減免個人繳費部分;特殊情況由醫保、扶貧、民政和財政等部門實施數據比對后,完成個人繳費退費,均無需個人申辦。
二十八、醫療救助對象手工(零星)報銷
◆事項名稱
主項名稱:醫療救助對象待遇核準支付
子項名稱:醫療救助對象手工(零星)報銷
◆服務對象
符合下列情況之一且未在醫療救助同步結算平臺結算的人員,可以申請醫療救助資金手工報銷:
(一)特困人員;
(二)最低生活保障對象;
(三)困境兒童;
(四)符合條件的享受國家撫恤補助的優撫對象;
(五)享受民政部門定期定量生活補助費的二十世紀六十年代精減退職職工;
(六)設區的市、縣(市、區)總工會核定的特困職工;
(七)低保邊緣家庭成員;
(八)支出型困難家庭中的大重病患者;
(九)具有當地戶籍的臨時救助對象中的大重病患者;
(十)省和設區的市人民政府規定的其他特殊困難人員。
◆辦理層級
設區市、縣(市、區)
◆設定依據
(一)《社會保險經辦條例》(國務院令第765號)第二十九條
(二)《城鄉醫療救助基金管理辦法》(財社〔2013〕217號)第八條
(三)《國務院辦公廳關于健全重特大疾病醫療保險和救助制度的意見》(國辦發〔2021〕42號)
(四)《關于進一步加強醫療救助與城鄉居民大病保險有效銜接的通知》(民發〔2017〕12號)
(五)《江蘇省醫療保障條例》第二十四條、第二十五條
(六)《江蘇省社會救助辦法》(省政府令第99號)
(七)《省政府辦公廳關于健全重特大疾病醫療保險和救助制度的實施意見》(蘇政辦發〔2022〕54號)
(八)《關于進一步做好醫療救助工作的通知》(蘇醫保發〔2019〕120號)
(九)《關于印發<江蘇省醫療救助業務經辦管理規程(試行)的通知>》(蘇醫保辦發〔2023〕27號)
◆辦理方式
(一)窗口辦理:各市向社會公布經辦服務大廳辦理地址
(二)線上辦理
◆辦理材料明細
材料同基本醫療保險參保人員醫療費用手工(零星)報銷
◆辦理流程
(一)窗口辦理
1. 申辦人攜帶相關材料至參保地醫保經辦機構服務窗口辦理;
2. 工作人員對材料是否符合辦理條件進行審核,若材料符合辦理條件即時受理,若材料不符合的,一次性告知到位;
3. 經辦機構對相關費用進行審核和復核(對需要查證的醫療費用進行核查)后,完成支付,并反饋辦理結果。
(二)線上辦理
1. 申辦人可通過線上根據提示提交報銷所需材料;
2. 工作人員對材料是否齊全、是否合法合規、是否符合辦理條件進行預審,預審通過的,通知參保人員郵寄材料,告知郵寄地址,若材料不符合要求,一次性告知到位;
3. 經辦機構對相關費用進行審核和復核(對需要查證的醫療費用進行核查)后,完成支付,并反饋辦理結果。
◆辦理時限
單次門診小額費用5個工作日;一般10個工作日,特殊情況不超過20個工作日
◆是否收費
否
◆流程圖
◆溫馨提示
全省已實現基本醫療保險、大病保險和醫療救助在定點醫藥機構一站式結算。
二十九、醫療機構申請定點協議管理
◆事項名稱
主項名稱:醫藥機構申請定點協議管理
子項名稱:醫療機構申請定點協議管理
◆服務對象
醫療機構
◆辦理層級
設區市、縣(市、區)
◆設定依據
(一)《中華人民共和國社會保險法》(主席令第35號)第八條、 第三十一條
(二)《醫療機構醫療保障定點管理暫行辦法》(國家醫療保障局令第2號)
(三)《江蘇省醫療保障局關于進一步加強定點醫藥機構協議管理工作的通知》(蘇醫保發〔2019〕126號)
(四)《浙江省醫療保障局、上海市醫療保障局、江蘇省醫療保障局、安徽省醫療保障局關于印發長三角地區定點醫藥機構確定評估指標的通知》(浙醫保聯發〔2023〕14號)
(五)《江蘇省醫療保障局關于印發<江蘇省醫療機構醫療保障定點管理實施細則>的通知》(蘇醫保規〔2023〕3號)
◆辦理方式
(一)窗口辦理:各市向社會公布經辦服務大廳辦理地址
(二)線上辦理
◆辦理材料明細
(一)定點醫療機構申請表
(二)醫療機構執業許可證或者診所備案憑證或者軍隊醫療機構為民服務許可證照復印件
(三)與醫療保障政策對應的內部管理制度和財務制度文本
(四)與醫保有關的醫療機構信息系統相關材料
(五)納入定點后使用醫療保障基金的預測性分析報告
(以上辦理資料均需加蓋單位公章)
◆辦理流程
(一)申辦人攜相關材料至當地經辦機構(或線上根據提示提交材料)申請納入醫保定點協議管理;
(二)工作人員對材料是否符合辦理條件進行審核,若材料符合辦理條件即時受理,若材料不符合的,一次性告知到位;
(三)經辦機構根據相關規程進行考察確認,核對相關資料后確認是否具備定點資格,并反饋辦理結果。
◆辦理時限
20個工作日
◆是否收費
否
◆流程圖
◆溫馨提示
1. 現場評估內容按照《江蘇省醫療機構醫療保障定點管理實施細則》和各設區市兩定機構協議管理辦法及經辦規程執行,醫療機構應主動配合,并如實提供相應材料;
2. 申請定點協議管理的醫療機構評估確認通過后,統籌地區經辦機構應按規定與醫療機構協商談判,達成一致,雙方自愿簽訂醫保協議。協議簽訂時限,按照國家規定,自申請之日起不超過90個自然日。
三十、零售藥店申請定點協議管理
◆事項名稱
主項名稱:醫藥機構申請定點協議管理
子項名稱:零售藥店申請定點協議管理
◆服務對象
零售藥店
◆辦理層級
設區市、縣(市、區)
◆設定依據
(一)《中華人民共和國社會保險法》(主席令第35號)第八條、 第三十一條
(二)《零售藥店醫療保障定點管理暫行辦法》(國家醫療保障局令第3號)
(三)《江蘇省醫療保障局關于進一步加強定點醫藥機構協議管理工作的通知》(蘇醫保發〔2019〕126號)
(四)《浙江省醫療保障局、上海市醫療保障局、江蘇省醫療保障局、安徽省醫療保障局關于印發長三角地區定點醫藥機構確定評估指標的通知》(浙醫保聯發〔2023〕14號)
◆辦理方式
(一)窗口辦理:各市向社會公布經辦服務大廳辦理地址
(二)線上辦理
◆辦理材料明細
(一)定點零售藥店申請表
(二)零售藥店藥品經營許可證、營業執照和法定代表人、主要負責人或實際控制人身份證復印件
(三)執業藥師資格證書或藥學技術人員相關證書及其勞動合同復印件
(四)醫保專(兼)職管理人員的勞動合同復印件
(五)與醫療保障政策對應的內部管理制度和財務制度文本
(六)與醫保有關的醫療機構信息系統相關材料
(七)納入定點后使用醫療保障基金的預測性分析報告
(以上辦理資料均需加蓋單位公章)
◆辦理流程
(一)申辦人攜相關材料至當地經辦機構(或線上根據提示提交材料)申請納入醫保定點協議管理;
(二)工作人員對材料是否符合辦理條件進行審核,若材料符合辦理條件即時受理,若材料不符合的,一次性告知到位;
(三)經辦機構根據相關規程進行考察確認,核對相關資料后確認是否具備定點資格,并反饋辦理結果。
◆辦理時限
20個工作日
◆是否收費
否
◆流程圖
◆溫馨提示
1. 現場評估內容按照《零售藥店醫療保障定點管理暫行辦法》和各設區市兩定機構協議管理辦法及經辦規程執行,零售藥店應主動配合,并如實提供相應材料;
2. 申請定點協議管理的零售藥店評估確認通過后,統籌地區經辦機構應按規定與零售藥店協商談判,達成一致,雙方自愿簽訂醫保協議。協議簽訂時限,按照國家規定,自申請之日起不超過90個自然日。
三十一、定點醫藥機構基礎信息變更
◆事項名稱
主項名稱:醫藥機構申請定點協議管理
子項名稱:定點醫藥機構基礎信息變更
◆服務對象
定點醫藥機構
◆辦理層級
設區市、縣(市、區)
◆設定依據
(一)《中華人民共和國社會保險法》(主席令第35號)第八條、 第三十一條
(二)《醫療機構醫療保障定點管理暫行辦法》(國家醫療保障局令第2號)
(三)《零售藥店醫療保障定點管理暫行辦法》(國家醫療保障局令第3號)
(四)《江蘇省醫療保障局關于進一步加強定點醫藥機構協議管理工作的通知》(蘇醫保發〔2019〕126號)
(五)《江蘇省醫療保障局關于印發<江蘇省醫療機構醫療保障定點管理實施細則>的通知》(蘇醫保規〔2023〕3號)
◆辦理方式
(一)窗口辦理:各市向社會公布經辦服務大廳辦理地址
(二)線上辦理
◆辦理材料明細
(一)變更后的醫藥機構營業執照或事業單位法人證或民辦非企業單位登記證、執業許可證、由相關行政主管部門提供的《準予變更登記通知書》等
(二)定點醫藥機構基礎信息變更備案登記表
◆辦理流程
(一)申辦人攜相關材料至當地經辦機構(或網上根據提示提交材料)申請變更定點醫藥機構基礎信息;
(二)工作人員對材料是否符合辦理條件進行審核,若材料符合辦理條件即時受理,若材料不符合的,一次性告知到位;
(三)經辦機構根據相關規程進行審核(或考察確認),并反饋辦理結果。
◆辦理時限
一般變更即時辦結,需要考察確認的不超過5個工作日
◆是否收費
否
◆流程圖
三十二、基本醫療保險定點醫療機構費用結算
◆事項名稱
主項名稱:定點醫藥機構費用結算
子項名稱:基本醫療保險定點醫療機構費用結算
◆服務對象
定點醫療機構
◆辦理層級
設區市、縣(市、區)
◆設定依據
(一)《中華人民共和國社會保險法》(主席令第35號)第二十九條;
(二)《醫療機構醫療保障定點管理暫行辦法》(國家醫療保障局令第2號)第三十條;
(三)《江蘇省醫療保障局關于進一步加強定點醫藥機構協議管理工作的通知》(蘇醫保發〔2019〕126號)
(四)《江蘇省醫療保障局 江蘇省財政廳 江蘇省衛生健康委員會關于全面推進醫?;鸺磿r結算的通知》(蘇醫保發〔2025〕15號)
◆辦理方式
(一)窗口辦理:各市向社會公布經辦服務大廳辦理地址
(二)線上辦理
◆辦理材料明細
根據定點醫療機構與經辦機構簽訂的協議執行
◆辦理流程
(一)申辦人將聯網結算定點醫療機構與醫保結算信息一致的費用向醫保經辦機構通過內網申請;
(二)醫保經辦機構收到材料后,在承諾期內完成受理、審核工作;
(三)醫保經辦機構作出基本醫療保險定點醫療機構費用結算的決定,作出決定之日起在內網向申請人反饋結果,并在業務系統內登記。
備注:即時結算提高撥付頻次,定點醫藥機構執行范圍由設區市按規定確定。
◆辦理時限
即時結算(按日、周、旬等);按月結算為20個工作日
◆是否收費
否
◆流程圖
三十三、基本醫療保險定點零售藥店費用結算
◆事項名稱
主項名稱:定點醫藥機構費用結算
子項名稱:基本醫療保險定點零售藥店費用結算
◆服務對象
定點零售藥店
◆辦理層級
設區市、縣(市、區)
◆設定依據
(一)《中華人民共和國社會保險法》(主席令第35號)第二十九條;
(二)《零售藥店醫療保障定點管理暫行辦法》(國家醫療保障局令第3號)第二十九條;
(三)《江蘇省醫療保障局關于進一步加強定點醫藥機構協議管理工作的通知》(蘇醫保發〔2019〕126號)
(四)《江蘇省醫療保障局 江蘇省財政廳 江蘇省衛生健康委員會關于全面推進醫?;鸺磿r結算的通知》(蘇醫保發〔2025〕15號)
◆辦理方式
(一)窗口辦理:各市向社會公布經辦服務大廳辦理地址
(二)線上辦理
◆辦理材料明細
根據定點醫療機構與經辦機構簽訂的協議執行
◆辦理流程
(一)申辦人將聯網結算定點零售藥店與醫保結算信息一致的費用向醫保經辦機構通過內網申請;
(二)醫保經辦機構收到材料后,在承諾期內完成受理、審核工作;
(三)醫保經辦機構作出基本醫療保險定點零售藥店費用結算的決定,作出決定之日起在內網向申請人反饋結果,并在業務系統內登記。
備注:即時結算提高撥付頻次,定點醫藥機構執行范圍由設區市按規定確定。
◆辦理時限
即時結算(按日、周、旬等);按月結算為20個工作日
◆是否收費
否
◆流程圖
三十四、長期護理保險失能等級評估
◆事項名稱
主項名稱:長期護理保險失能等級評估
子項名稱:長期護理保險參保人員失能等級評估申請
◆服務對象
參加長期護理保險的參保人員
◆辦理層級
設區市、縣(市、區)
◆設定依據
(一)《國家醫保局 財政部關于印發<長期護理保險失能等級評估管理辦法(試行)>的通知》(醫保發〔2023〕29號)
(二)《國家醫保局辦公室 民政部辦公室關于印發<長期護理失能等級評估標準(試行)>的通知》(醫保辦發〔2021〕37號)
(三)《國家醫療保障局辦公室關于印發<長期護理保險失能等級評估操作指南(試行)>的通知》(醫保辦發〔2022〕1號)
(四)《江蘇省醫療保障局 江蘇省財政廳印發<關于深化長期護理保險制度建設的指導意見>的通知》(蘇醫保發〔2022〕85號)
◆辦理方式
(一)窗口辦理:各市向社會公布長期護理保險經辦服務大廳辦理地址
(二)線上辦理
◆辦理材料明細
(一)醫保電子憑證或有效身份證件或社???/p>
(二)診斷證明
(三)病歷材料
◆辦理流程
1. 申請人攜相關材料至當地長期護理保險經辦機構(或線上根據提示提交材料)申請失能等級評估;
2. 工作人員受理失能等級評估申請,不符合條件的當場告知,材料不全的當場一次性告知所需補齊的材料;
3. 審核通過的即時受理,30個工作日內完成評估,出具評估結論。
◆辦理時限
不超過30個工作日
◆是否收費
否
◆流程圖
注:1.?所有服務事項中,允許委托辦理的,應提供委托人及代理人身份證原件及委托人授權委托書;
? ? ? ? ? ? ? ? ?2. 線上辦理指參保單位及參保人員通過國家醫保服務平臺、江蘇醫保云APP、江蘇政務服務網、參保地醫保部門設置的手機APP、門戶網站、微信公眾號、傳真等線上渠道辦理。


































